控制电缆
控制电缆
高柔性PVC屏蔽拖链伺服动力电缆 CLASSIC SERVO-CY-FD 更多产品
- · H05V-K/H07V-K
- · 柔性PVC屏蔽编码器电缆 CLASSIC SENSOR-CY
- · 伺服电机PVC非屏蔽电缆 CLASSIC SERVO-CY
- · 伺服机PVC非屏蔽电缆 CLASSIC SERVO-YY
- · 高柔性PVC屏蔽拖链伺服动力电缆 CLASSIC SERVO-CY-FD
- · 高柔性PVC非屏蔽拖链伺服动力电缆 CLASSIC SERVO-YY-FD
- · 柔性PVC屏蔽对绞数据信号电缆 CLASSIC LiYCY-TP-FD
- · 高柔性PVC屏蔽对绞数据信号电缆 CLASSIC LiYCY-FD
- · 高柔性PVC非屏蔽拖链控制电缆 CLASSIC LiYY-TP
- · 高柔性PVC屏蔽控制拖链控制电缆 CLASSIC CY -FD
- · 高柔性PVC非屏蔽拖链控制电缆 CLASSIC YY-TP
- · 柔性PVC屏蔽对绞数据信号电缆 CLASSIC LiYCY-TP
- · 柔性PVC非屏蔽对绞数据信号电缆 CLASSIC LiYY-TP
- · 柔性PVC屏蔽数据信号电缆 CLASSIC LiYCY
- · 柔性PVC非屏蔽数据电缆 CLASSIC LiYY
- · 柔性PVC屏蔽双护套控制电缆 CLASSIC 2-CY
- · 柔性PVC屏蔽控制电缆 CLASSIC CY
- · 柔性PVC非屏蔽控制电缆 CLASSIC YY
- · 概述
![]()
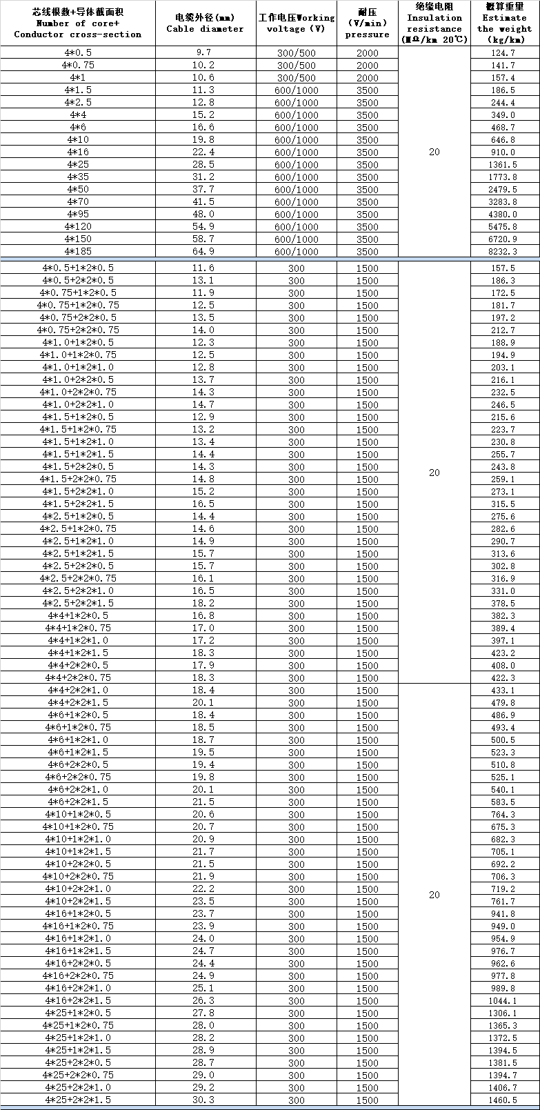
高柔性PVC屏蔽拖链伺服动力电缆 CLASSIC SERVO-CY-FD
High flexible PVC shielding servo power cable drag chain SERVO-CY-FD

构造表(Structure table):







